基本信息:
中文名称 磺酸钠
中文别名 薁磺酸钠;
英文名称 sodium,3,8-dimethyl-5-propan-2-ylazulene-1-sulfonate
英文别名 sodium 5-isopropyl-3,8-dimethylazulene-1-sulfonate;Gualenate de sodium;sodium gualenate;Azulene sulfonate sodium;5-isopropyl-3,8-dimethyl-azulene-1-sulfonic acid,sodium-salt;5-Isopropyl-3,8-dimethyl-azulen-1-sulfonsaeure,Natrium-Salz;Natrii gualenas;Sodium guiazulene sulfonate;Gualenato sodidico;Azulen SN;Azupromin;
CAS号 6223-35-4
合成路线:
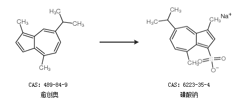
1.通过愈创奥合成磺酸钠

更多路线和参考文献可参考