你好,欢迎来到中华试剂网 购试剂 买耗材! [请登录][注册有惊喜]

货号快速下单 | 签到送积分   | 会员中心 | 客服热线:400-021-2765

环辛醇的合成路线有哪些?

提问时间:2021/4/20 8:14:08
环辛醇有什么方法可以合成?

1条回复:

匿名
2021/4/20 8:14:08
基本信息:
中文名称 环辛醇
中文别名 环辛烷甲醇;
英文名称 CYCLOOCTANEMETHANOL
英文别名 cyclooctylmethanol;Cyclooctanemethanol;
CAS号 3637-63-6

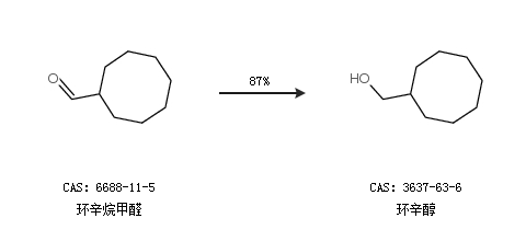
合成路线:
1.通过环辛烷甲醛合成环辛醇,收率约87%;


2.通过环辛烯合成环辛醇,收率约28%;


更多路线和参考文献可参考
回复