基本信息:
中文名称 环己烷丁酸钠
中文别名 N环己烷丁酸钠;环己基丁酸钠;4-环己基丁酸钠盐;
英文名称 sodium,4-cyclohexylbutanoate
英文别名 Sodium cyclohexanebutyrate;sodium 4-cyclohexylbutanoate;Sodium 4-cyclohexylbutyrate;sodium cyclohexyl butanoate;
CAS号 61886-29-1
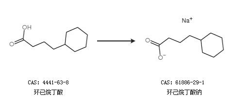
合成路线:
1.通过环已烷丁酸合成环己烷丁酸钠

更多路线和参考文献可参考