基本信息:
中文名称 环丁腈
中文别名 环丁烷甲腈;氰基环丁烷;
英文名称 cyclobutanecarbonitrile
英文别名 cyanocyclobutane;cyclobutyl cyanide;cyclobutancarbonitrile;cyclobutane carbonitrile;cyclobutyl nitrile;Cyclobutanenitrile;
CAS号 4426-11-3
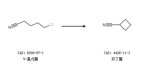
合成路线:
1.通过氯磺酰异氰酸酯和环丁基甲酸合成环丁腈,收率约65%;

2.通过5-氯戊腈合成环丁腈

更多路线和参考文献可参考