你好,欢迎来到中华试剂网 购试剂 买耗材! [请登录][注册有惊喜]

货号快速下单 | 签到送积分   | 会员中心 | 客服热线:400-021-2765

琥珀酰胺的合成路线有哪些?

提问时间:2021/4/20 8:14:08
琥珀酰胺有什么方法可以合成?

1条回复:

匿名
2021/4/20 8:14:08
基本信息:
中文名称 琥珀酰胺
中文别名 丁二酰胺;丁二酸胺;
英文名称 SUCCINAMIDE
英文别名 butanediamide;Succinamide;
CAS号 110-14-5

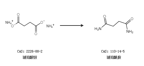
合成路线:
1.通过琥珀酸铵合成琥珀酰胺


2.通过丁二酰亚胺合成琥珀酰胺


更多路线和参考文献可参考
回复