基本信息:
中文名称 虎杖苷
中文别名 云杉新甙;白藜芦醇甙;虎杖甙;
英文名称 trans-piceid
英文别名 Pieceid;RESVERATROL GLUCOSIDE;Resveratrol 3-Glucoside;Resveratrol 3-O-glucoside;Polydatin;4'',5-Dihydroxystilben-3-yl β-D-Glucopyranoside;trans-polydatin;Polydotin peceid;Plydatin;
CAS号 27208-80-6
合成路线:
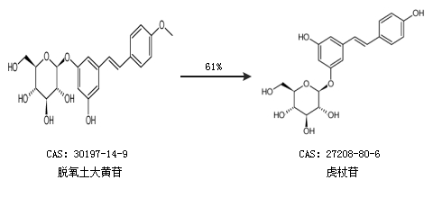
1.通过脱氧土大黄苷合成虎杖苷,收率约61%;

2.通过白藜芦醇和乙酰溴-α-D-葡萄糖合成虎杖苷,收率约24%;

更多路线和参考文献可参考