你好,欢迎来到中华试剂网 购试剂 买耗材! [请登录][注册有惊喜]

货号快速下单 | 签到送积分   | 会员中心 | 客服热线:400-021-2765

葫芦素的合成路线有哪些?

提问时间:2021/4/20 8:14:08
葫芦素有什么方法可以合成?

1条回复:

匿名
2021/4/20 8:14:08
基本信息:
中文名称 葫芦素
英文名称 cucurbitacin I
英文别名 CUCURBITACIN I;Cucurbitacin I;
CAS号 2222-07-3

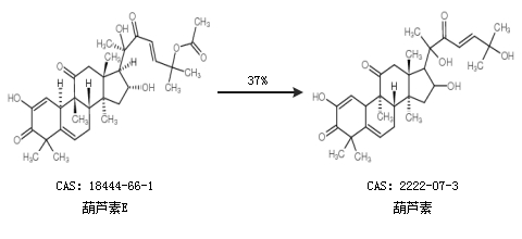
合成路线:
1.通过葫芦素E合成葫芦素,收率约37%;


更多路线和参考文献可参考
回复