基本信息:
中文名称 哈尔满碱
中文别名 1-甲基-9H-吡啶并[3,4-B]吲哚;阿锐碱;3-甲基-4-咔啉;2-甲基-Β-咔啉;
英文名称 harman
英文别名 Passiflorin;1-methylbetacarboline;Aribine;Loturine;Harman;Aribin;1-Me-carboline;1-methyl-9H-pyrido[3,4-b]indole;Locuturine;Phorbol 12,13-dibutyrate;Locuturin;HARMANE;
CAS号 486-84-0
合成路线:
1.通过叔丁基过氧化氢和去甲哈尔满合成哈尔满碱,收率约76%;

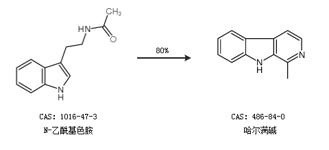
2.通过N-乙酰基色胺合成哈尔满碱,收率约80%;

更多路线和参考文献可参考