基本信息:
中文名称 哈尔酚
中文别名 1-甲基-9H-吡啶并[3,4-b]吲哚-7-醇;7-羟基-1-甲基-9H-吡啶并[3,4-b]吲哚;
英文名称 HARMOL
英文别名 1-Methyl-9H-pyrido[3,4-b]indol-7-ol;7-HYDROXY-1-METHYL-9H-PYRIDO[3,4-B]INDOLE;1-methyl-9H-pyrido[3,4-b]indol-7-ol;METHYLPYRIDOINDOLOL;
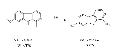
CAS号 487-03-6
合成路线:
1.通过肉叶云香碱合成哈尔酚,收率约99%;

2.通过6-羟基吲哚乙胺合成哈尔酚

更多路线和参考文献可参考