你好,欢迎来到中华试剂网 购试剂 买耗材! [请登录][注册有惊喜]

货号快速下单 | 签到送积分   | 会员中心 | 客服热线:400-021-2765

癸二酰肼的合成路线有哪些?

提问时间:2021/4/20 8:14:07
癸二酰肼有什么方法可以合成?

1条回复:

匿名
2021/4/20 8:14:07
基本信息:
中文名称 癸二酰肼
中文别名 癸肼;癸烷二肼;癸二酸二酰肼;
英文名称 Decanedihydrazide
英文别名 Sebacic dihydrazide;
CAS号 925-83-7

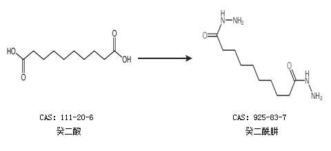
合成路线:
1.通过癸二酸二甲酯合成癸二酰肼


2.通过癸二酸合成癸二酰肼


更多路线和参考文献可参考
回复