基本信息:
中文名称 格帕沙星
中文别名 1-环丙基-6-氟-7-(3-甲基-1-哌嗪基)-5-甲基-1,4-二氢-4-氧代喹啉-3-羧酸;格里沙星;
英文名称 Grepafloxacin
英文别名 1-Cyclopropyl-6-fluoro-7-(3-methyl-1-piperazinyl)-5-methyl-1,4-dihydro-4-oxoquinoline-3-carboxylic acid;1-cyclopropyl-6-fluoro-1,4-dihydro-5-methyl-7-(3-methyl-1-piperazinyl)-4-oxo-3-quinolinecarboxylic acid;1-cyclopropyl-5-methyl-6-fluoro-7-(3-methylpiperazin-1-yl)-1,4-dihydro-4-oxoquinoline-3-carboxylic acid;
CAS号 119914-60-2
合成路线:
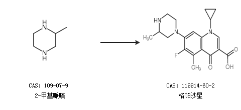
1.通过2-甲基哌嗪合成格帕沙星

2.通过2-甲基哌嗪和1-环丙基-6,7-二氟-5-甲基-4-氧代-3-喹啉羧酸合成格帕沙星,收率约92%;

更多路线和参考文献可参考