你好,欢迎来到中华试剂网 购试剂 买耗材! [请登录][注册有惊喜]

货号快速下单 | 签到送积分   | 会员中心 | 客服热线:400-021-2765

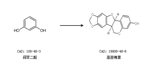
高丽槐素的合成路线有哪些?

提问时间:2021/4/20 8:14:07
高丽槐素有什么方法可以合成?

1条回复:

匿名
2021/4/20 8:14:07
基本信息:
中文名称 高丽槐素
中文别名 马卡因;马卡因;
英文名称 (+)-Maackiain
英文别名 rac-maackiain;(±)-Maackiain;dl-Maackiain;dl-maackiain;4-Chlorobenzamideoxime;demethylpterocarpin;
CAS号 19908-48-6

合成路线:
1.通过间苯二酚合成高丽槐素


更多路线和参考文献可参考
回复