你好,欢迎来到中华试剂网 购试剂 买耗材! [请登录][注册有惊喜]

货号快速下单 | 签到送积分   | 会员中心 | 客服热线:400-021-2765

二氢小檗碱的合成路线有哪些?

提问时间:2021/4/20 8:14:07
二氢小檗碱有什么方法可以合成?

1条回复:

匿名
2021/4/20 8:14:07
基本信息:
中文名称 二氢小檗碱
英文名称 9,10-Dimethoxy-6,8-dihydro-5H-[1,3]dioxolo[4,5-g]isoquinolino[3,2-a]isoquinoline
英文别名 Dihydroberbine;
CAS号 483-15-8

合成路线:
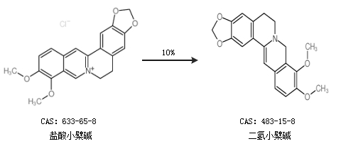
1.通过盐酸小檗碱合成二氢小檗碱,收率约10%;


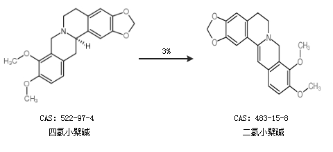
2.通过四氢小檗碱合成二氢小檗碱,收率约3%;


更多路线和参考文献可参考
回复