基本信息:
中文名称 二氢丁香酚
中文别名 2-甲氧基-4-丙基-苯酚;
英文名称 2-methoxy-4-propylphenol
英文别名 p-Propylguaiacol;Coerulignol;Phenol,2-methoxy-4-propyl;Cerulignol;4-n-propylguaiacol;Dihydroeugenol;4-Propylguaiacol;Guaiacylpropane;
CAS号 2785-87-7
合成路线:
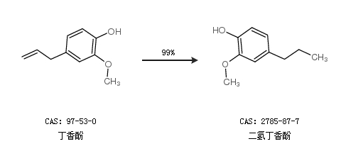
1.通过丁香酚合成二氢丁香酚,收率约99%;

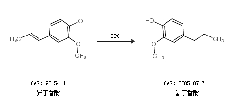
2.通过异丁香酚合成二氢丁香酚,收率约95%;

更多路线和参考文献可参考