基本信息:
中文名称 二茂铁甲酸
中文别名 甲酸二茂铁;二茂铁羧酸;
英文名称 ferrocenecarboxylic acid
英文别名 Ferrocenecarboxylic acid;Ferocene monocarboxylic acid;FERROCENE,CARBOXY;CARBOXYFERROCENE;FERROENECARBOXYLIC ACID;Carboxyferrocene;(Carboxycyclopentadienyl)cyclopentadienyliron;ferrocenemonocarboxylic acid;
CAS号 1271-42-7
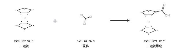
合成路线:
1.通过二茂铁和二氧化碳合成二茂铁甲酸,收率约86%;

2.通过二茂铁和氯仿合成二茂铁甲酸

更多路线和参考文献可参考