基本信息:
中文名称 二氯二-n-丙基硅烷
中文别名 二氯二正丙基硅烷;
英文名称 dichloro(dipropyl)silane
英文别名 dichlorodi-n-propylsilane;Dichlor-dipropyl-silan;Silane,dichlorodipropyl;EINECS 218-940-7;dichloro-dipropyl-silane;Dipropyldichlorosilane;(n-pr)2SiCl2;
CAS号 2295-24-1
合成路线:
1.通过丙基溴化镁合成二氯二-n-丙基硅烷

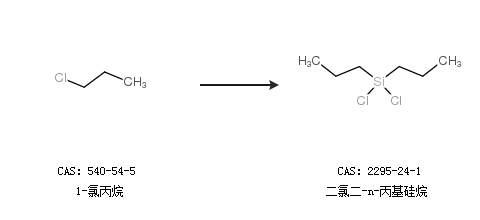
2.通过1-氯丙烷合成二氯二-n-丙基硅烷

更多路线和参考文献可参考