基本信息:
中文名称 二丙戊酰胺
中文别名 丙戊酸钠杂质G;
英文名称 2,2-dipropylpentanamide
英文别名 Pentanamide,2,2-dipropyl;Valdipromide;Valdipromida;Valdipromida [INN-Spanish];Valdipromidum;Valdipromidum [INN-Latin];2,2-Dipropylvaleramide;
CAS号 52061-73-1
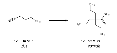
合成路线:
1.通过戊腈合成二丙戊酰胺

更多路线和参考文献可参考