基本信息:
中文名称 儿茶精
中文别名 羟黄酮;儿茶素;(+)-儿茶素;右旋儿茶酚;
英文名称 (+)-catechin
英文别名 (+)-Catechin Hydrate;3-Cyanidanol, (+)-;(2R,3S)-2-(3,4-Dihydroxyphenyl)chroman-3,5,7-triol;(+)-3,3'',4'',5,7-Flavanpentol Hydrate;(+)-3,3,4,5,7-Flavanpentol;
CAS号 154-23-4
合成路线:
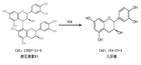
1.通过原花清素B3合成儿茶精,收率约35%;

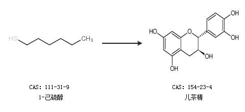
2.通过1-己硫醇合成儿茶精

更多路线和参考文献可参考