你好,欢迎来到中华试剂网 购试剂 买耗材! [请登录][注册有惊喜]

货号快速下单 | 签到送积分   | 会员中心 | 客服热线:400-021-2765

对羟基苯乙酮的合成路线有哪些?

提问时间:2021/4/20 8:14:06
对羟基苯乙酮有什么方法可以合成?

1条回复:

匿名
2021/4/20 8:14:06
基本信息:
中文名称 对羟基苯乙酮
中文别名 4-羟基苯乙酮;4-乙酰苯酚;P-羟基苯乙酮;4''-羟基苯乙酮;4-羟基乙酰苯;对乙酰苯酚;
英文名称 4''-hydroxyacetophenone
英文别名 4''-Hydroxyacetophenone;1-(4-hydroxyphenyl)ethanone;
CAS号 99-93-4

合成路线:
1.通过4-乙酰基苯硼酸合成对羟基苯乙酮,收率约97%;


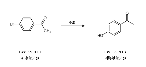
2.通过4-溴苯乙酮合成对羟基苯乙酮,收率约94%;


更多路线和参考文献可参考
回复