你好,欢迎来到中华试剂网 购试剂 买耗材! [请登录][注册有惊喜]

货号快速下单 | 签到送积分   | 会员中心 | 客服热线:400-021-2765

对苯二酚二异丙醇醚的合成路线有哪些?

提问时间:2021/4/20 8:14:06
对苯二酚二异丙醇醚有什么方法可以合成?

1条回复:

匿名
2021/4/20 8:14:06
基本信息:
中文名称 对苯二酚二异丙醇醚
英文名称 1-[4-(2-hydroxypropoxy)phenoxy]propan-2-ol
CAS号 17977-38-7

合成路线:
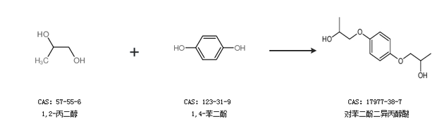
1.通过1,2-丙二醇和1,4-苯二酚合成对苯二酚二异丙醇醚


更多路线和参考文献可参考
回复