基本信息:
中文名称 对苯二酚二羟乙基醚
中文别名 1,4-二(2-羟基乙氧基)苯;
英文名称 Hydroquinone bis(2-hydroxyethyl)ether
英文别名 1,4-Di(2-hydroxyethoxy)benzene;Hydroquinone Di(2-hydroxyethyl) Ether;1,4-Bis(2-hydroxyethoxy)benzene;2-[4-(2-hydroxyethoxy)phenoxy]ethanol;2,2''-(1,4-Phenylenebis(oxy))diethanol;Hydroquinone Bis(2-hydroxyethyl) Ether;2,2’-(1,4-Phenylenedioxy)diethanol;
CAS号 104-38-1
合成路线:
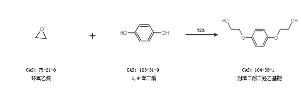
1.通过环氧乙烷和1,4-苯二酚合成对苯二酚二羟乙基醚,收率约72%;

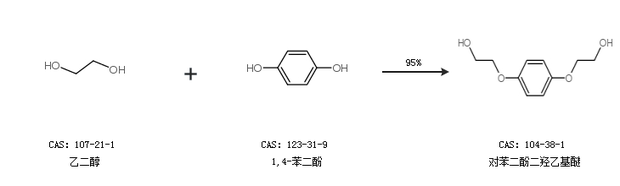
2.通过乙二醇和1,4-苯二酚合成对苯二酚二羟乙基醚,收率约95%;

更多路线和参考文献可参考