你好,欢迎来到中华试剂网 购试剂 买耗材! [请登录][注册有惊喜]

货号快速下单 | 签到送积分   | 会员中心 | 客服热线:400-021-2765

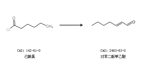
对苯二酚单乙醚的合成路线有哪些?

提问时间:2021/4/20 8:14:06
对苯二酚单乙醚有什么方法可以合成?

1条回复:

匿名
2021/4/20 8:14:06
基本信息:
中文名称 对苯二酚单乙醚
英文名称 hept-2-enal
英文别名 2-HEPTEN-1-OL;TRANS-2-HEPTENAL;hept-2-en-1-ol;2-trans-heptenol;trans-2-Hepten-1-ol,remainder mainly cis-isomer;3-Butyl-acrolein;trans-2-heptene-1-ol;
CAS号 2463-63-0

合成路线:
1.通过己酰氯合成对苯二酚单乙醚


更多路线和参考文献可参考
回复