你好,欢迎来到中华试剂网 购试剂 买耗材! [请登录][注册有惊喜]

货号快速下单 | 签到送积分   | 会员中心 | 客服热线:400-021-2765

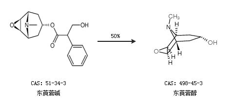
东莨菪醇的合成路线有哪些?

提问时间:2021/4/20 8:14:06
东莨菪醇有什么方法可以合成?

1条回复:

匿名
2021/4/20 8:14:06
基本信息:
中文名称 东莨菪醇
中文别名 9-甲基-3-氧杂-9-氮杂三环[3.3.1.02.4]壬烷-7-醇;
英文名称 (1R,2R,4S,5S,7s)-9-Methyl-3-oxa-9-azatricyclo[3.3.1.02,4]nonan-7-ol
英文别名 Scopine;
CAS号 498-45-3

合成路线:
1.通过东莨菪碱合成东莨菪醇,收率约50%;


2.通过环庚三烯合成东莨菪醇


更多路线和参考文献可参考
回复