基本信息:
中文名称 丁酰胺
中文别名 正丁酸胺;C4 酰胺;丁酸胺;
英文名称 butanamide
英文别名 Butanoic acid,amide;1-Butyramide;butyrylamide;Butyramide;Amide C4;butanoyl amide;N-BUTYLAMIDE;Butanimidic acid;n-Butyramide;butyroamide;
CAS号 541-35-5
合成路线:
1.通过丁醛合成丁酰胺,收率约92%;

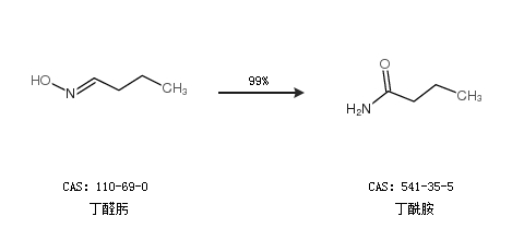
2.通过丁醛肟合成丁酰胺,收率约99%;

更多路线和参考文献可参考