基本信息:
中文名称 丁位壬内酯
中文别名 δ-壬内酯;6-丁基四氢-2H-吡喃-2-酮;5-羟基壬酸内酯;δ-壬醇内酯;
英文名称 δ-Nonalactone
英文别名 δ-Nonanolactone;i-nonanolactone;delta-Nonanolactone;δ-Pelargonolactone;5-NONANOLIDE;D-NONALACTONE;FEMA 3356;Delta-Nonalactone;d-Nonanolactone;5-Hydroxynonanoic acid,lactone;nonan-5-olide;NONALACTONE(SG);6-butyltetrahydro-2H-pyran-2-one;delta-Nonalactone;i-nonalactone;5-nonalactone;6-butyl-tetrahydro-pyran-2-one;
CAS号 3301-94-8
合成路线:
1.通过4-辛醇合成丁位壬内酯

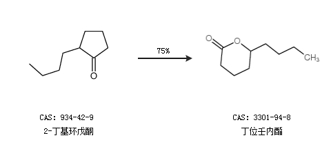
2.通过2-丁基环戊酮合成丁位壬内酯,收率约75%;

更多路线和参考文献可参考