基本信息:
中文名称 地瑞那韦中间体1
中文别名 (3R,3AS,6AR)-羟基六氢呋喃并[2,3-B]呋喃基丁二酰亚胺基碳酸酯;(3R,3ΑS,6ΑR)-羟基六氢呋喃并[2,3-Β]呋喃基丁二酰亚胺基碳酸酯;(3R,3AS,6AR)-羟基六氢呋喃并[2,3-Β]呋喃基丁二酰亚胺基碳酸酯;(3R,3aS,6aR)-羟基六氢呋喃并[2,3-Beta]呋喃基丁二酰亚胺基碳酸酯;
英文名称 [(3R,3aS,6aR)-Hydroxyhexahydrofuro[2,3-b]furanyl Succinimidyl Carbonate
英文别名 (3R,3aS,6aR)-Hydroxyhexahydrofuro[2,3-β]furanyl Succinimidyl Carbonate;
CAS号 253265-97-3
合成路线:
1.通过N,N''-二琥珀酰亚胺基碳酸酯和(3R,3AS,6AR)-六氢呋喃并[2,3-B]呋喃-3-醇合成地瑞那韦中间体1,收率约66%;

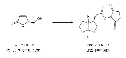
2.通过(S)-(-)-5-羟甲基-2(5H)-呋喃酮合成地瑞那韦中间体1

更多路线和参考文献可参考