你好,欢迎来到中华试剂网 购试剂 买耗材! [请登录][注册有惊喜]

货号快速下单 | 签到送积分   | 会员中心 | 客服热线:400-021-2765

当归内酯的合成路线有哪些?

提问时间:2021/4/20 8:14:06
当归内酯有什么方法可以合成?

1条回复:

匿名
2021/4/20 8:14:06
基本信息:
中文名称 当归内酯
中文别名 4-羟基-3-戊烯酸γ-内酯;5-甲基-2(3H)-呋喃酮;4-羟基-3-戊烯内酯;
英文名称 α-angelica lactone
英文别名 alpha-Angelica lactone;5-methyl-3H-furan-2-one;alpha-angelica lactone;
CAS号 591-12-8

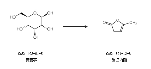
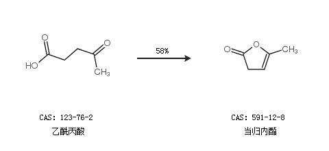
合成路线:
1.通过乙酰丙酸合成当归内酯,收率约58%;


2.通过莨菪亭合成当归内酯


更多路线和参考文献可参考
回复