基本信息:
中文名称 次黄嘌呤
中文别名 次黄嘌呤;次黄碱,6-氧嘌呤,6-羟基嘌呤;6-羟基嘌呤;次黄碱;
英文名称 hypoxanthine
英文别名 6-Oxopurine;PURIN-6-OL;1,7-dihydro-purin-6-one;SARKIN;6-oxypurine;1,7-dihydro-6H-purin-6-one;Hypoxanthin;Sarkine;Hypoxanthine;SARCINE;HYPOXANTHINE;6-Hydroxypurine;Hypexanthine;Hypoxathine;Purine-6-ol;
CAS号 68-94-0
合成路线:
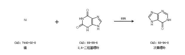
1.通过镍和2,6-二羟基嘌呤合成次黄嘌呤,收率约69%;

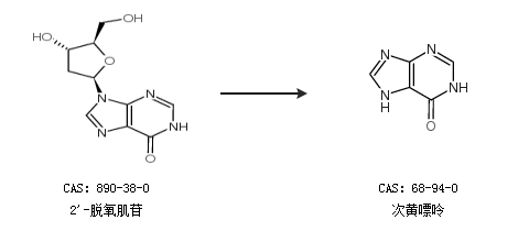
2.通过2''-脱氧肌苷合成次黄嘌呤

更多路线和参考文献可参考