基本信息:
中文名称 橙皮素
中文别名 4-甲氧基-3,5'',7''-三羟基黄烷酮;4''-甲氧基-3,5,7-三羟基黄烷酮;5,7,3`-三羟基-4`-甲氧基黄烷酮;4-甲氧基-3,5'',7''-三羟基黄酮;
英文名称 hesperetin
英文别名 Eriodictyol 4''-monomethyl ether;3'',5,7-TRIHYDROXY-4-METHOXYFLAVANONE;Hesperetin;HESPERETINE;(S)-3'',5,7-Trihydroxy-4''-methoxyflavanone;3'',5,7-Trihydroxy-4''-methoxyflavanone;Hesperitin;
CAS号 520-33-2
合成路线:
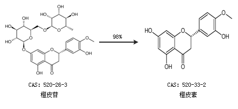
1.通过橙皮苷合成橙皮素,收率约98%;

2.通过4-甲基伞形酮和橙皮苷合成橙皮素

更多路线和参考文献可参考