基本信息:
中文名称 丙位辛内酯
中文别名 1,4-辛内酯;gamma-辛内酯;7-辛内酯;γ-辛内酯;GAMMA-辛内酯;
英文名称 gamma-Octanoic lactone
英文别名 γ-Octanoic lactone;γ-Octalactone;Octano-1,4-lactone;4-Hydroxy octanoic acid;γ-Octanolactone;5-Butyldihydrofuran-2(3H)-one;
CAS号 104-50-7
合成路线:
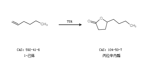
1.通过1-己烯合成丙位辛内酯,收率约75%;

2.通过1-己烯和溴乙酸合成丙位辛内酯,收率约63%;

更多路线和参考文献可参考