你好,欢迎来到中华试剂网 购试剂 买耗材! [请登录][注册有惊喜]

货号快速下单 | 签到送积分   | 会员中心 | 客服热线:400-021-2765

丙酸己烯雌酚的合成路线有哪些?

提问时间:2021/4/20 8:14:05
丙酸己烯雌酚有什么方法可以合成?

1条回复:

匿名
2021/4/20 8:14:05
基本信息:
中文名称 丙酸己烯雌酚
英文名称 DIETHYLSTILBESTROL DIPROPIONATE
英文别名 Estroben;Orestol;Desd;Euvestin;Estilbin;cyrenb;Dibestil;Gynolett;Horfemine;
CAS号 130-80-3

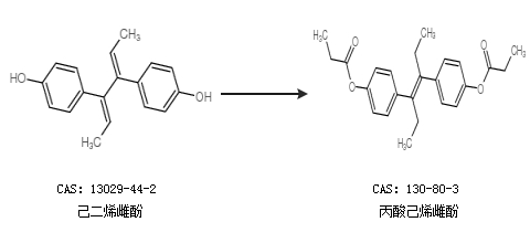
合成路线:
1.通过己二烯雌酚合成丙酸己烯雌酚


2.通过己烯雌酚和丙酰氯合成丙酸己烯雌酚


更多路线和参考文献可参考
回复