你好,欢迎来到中华试剂网 购试剂 买耗材! [请登录][注册有惊喜]

货号快速下单 | 签到送积分   | 会员中心 | 客服热线:400-021-2765

苄基叠氮的合成路线有哪些?

提问时间:2021/4/20 8:14:05
苄基叠氮有什么方法可以合成?

1条回复:

匿名
2021/4/20 8:14:05
基本信息:
中文名称 苄基叠氮
中文别名 Α-疊氮甲苯;
英文名称 azidomethylbenzene
英文别名 Benzylazide;
CAS号 622-79-7

合成路线:
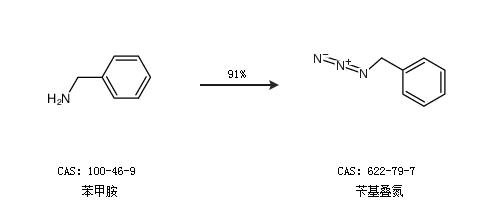
1.通过苯甲胺合成苄基叠氮,收率约91%;


2.通过苄基氯合成苄基叠氮,收率约98%;


更多路线和参考文献可参考
回复