基本信息:
中文名称 白藜芦醇
中文别名 白黎芦醇;培利替尼;芪三酚;芪三酚,3,4'',5-三羟基芪,(E)-5-[2-(4-羟苯基)-乙烯基]-1,3-苯二酚;3,4,5-三羟基反式;芪三酚;淫羊藿素;白藜芦醇.3,4'',5-三羟基芪,虎杖甙元;反式-1,2-(3,4'',5-三羟基二苯基)乙烯;(E)-5-[2-(4-羟苯基)-乙烯基]-1,3-苯二酚;茋三酚;3,4'',5-三羟基茋;3,4'',5-三羟基芪;3,4'',5-三羟基芪;3,4'',5-三羟基二苯乙烯;虎杖甙元;
英文名称 resveratrol
英文别名 3'',4,5''-trihydroxy-trans-stilbene;RESVERTROL;RESVERATROLE;(E)-5-(4-Hydroxystyryl)benzene-1,3-diol;3,4'',5-Trihydroxy-trans-stilbene;trans-3,5,4''-trihydroxy-stilbene;trans-1,2-(3,4'',5-Trihydroxydiphenyl)ethylene;5-[(1E)-2-(4-Hydroxyphenyl)ethenyl]-1,3-benzenediol;Resveratrol;TRANS-RESVERATROL;
CAS号 501-36-0
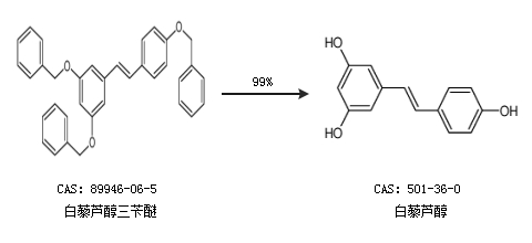
合成路线:
1.通过3,4'',5-三甲氧基-反-二苯代乙烯合成白藜芦醇,收率约92%;

2.通过白藜芦醇三苄醚合成白藜芦醇,收率约99%;

更多路线和参考文献可参考