基本信息:
中文名称 白桦脂酸
中文别名 桦木酸;樺酸;桦木酸;香柠檬烯;白桦酯酸;
英文名称 betulinic acid
英文别名 Melaleucin;Gratiolone;BETULIC ACID;Betulinic acid;ALS-357;Betulinic;MAIRIN;Platanol;Betulinic Acid;3β-Hydroxy-20(29)-lupaene-28-oic Acid;
CAS号 472-15-1
合成路线:
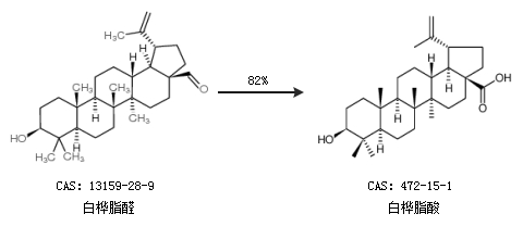
1.通过白桦脂醛合成白桦脂酸,收率约82%;

2.通过桦木醇合成白桦脂酸,收率约87%;

更多路线和参考文献可参考