基本信息:
中文名称 氨鲁米特
中文别名 3-乙基-3-(4-氨基苯基)-2,6-哌啶二酮;头孢哌酮;
英文名称 aminoglutethimide
英文别名 Aminoglutethimide;3-(4-aminophenyl)-3-ethylpiperidine-2,6-dione;3-(p-Aminophenyl)-3-ethylpiperidine-2,6-dione (3-(4-Aminophenyl)-3-ethyl-2,6-piperidinedione;DL-Aminoglutethimide;3-(p-Aminophenyl)-3-ethylpiperidine-2,6-dione 3-(4-Aminophenyl)-3-ethyl-2,6-piperidinedione;
CAS号 125-84-8
合成路线:
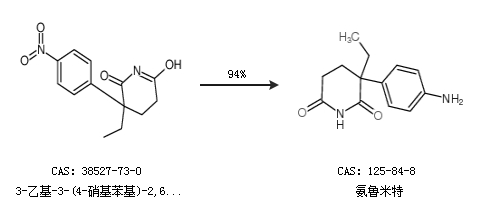
1.通过3-乙基-3-(4-硝基苯基)-2,6-哌啶二酮合成氨鲁米特,收率约94%;

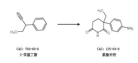
2.通过2-苯基丁腈合成氨鲁米特

更多路线和参考文献可参考