基本信息:
中文名称 氨基核苷嘌呤霉素
中文别名 嘌呤霉素氨基核苷;
英文名称 3''-amino-3''-deoxy-N6,N6-dimethyladenosine
英文别名 3''-amino-3''-deoxy-N(6),N(6)-dimethyladenosine;PUROMYCIN AMINONUCLEOSIDE;Puromycin aminonucleoside;
CAS号 58-60-6
合成路线:
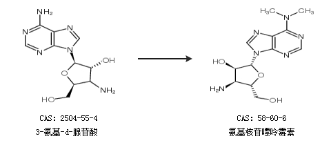
1.通过3-氨基-d-腺苷酸合成氨基核苷嘌呤霉素

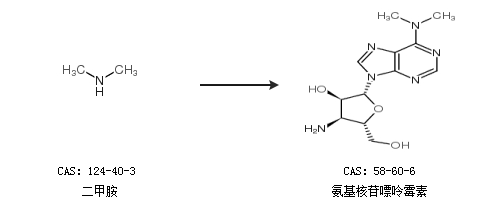
2.通过二甲胺合成氨基核苷嘌呤霉素

更多路线和参考文献可参考