你好,欢迎来到中华试剂网 购试剂 买耗材! [请登录][注册有惊喜]

货号快速下单 | 签到送积分   | 会员中心 | 客服热线:400-021-2765

阿托品的合成路线有哪些?

提问时间:2021/4/20 8:14:04
阿托品有什么方法可以合成?

1条回复:

匿名
2021/4/20 8:14:04
基本信息:
中文名称 阿托品
中文别名 茄灵;
英文名称 atropine
英文别名 t-3-ylester;Atropine;DL-ATROPINE;Eyesules;DL-tropic acid tropane-3endo-yl ester;Atropinol;Atropina;Atropisol;troyltropate;HYOSCYAMINE;Atropin;
CAS号 51-55-8

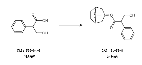
合成路线:
1.通过托品酸合成阿托品


2.通过托品酸和托品醇合成阿托品


更多路线和参考文献可参考
回复