基本信息:
中文名称 阿洛西林
中文别名 咪氨苄西林; 唑酮氨苄青霉素; (2S,5R,6R)-3,3-二甲基-6-[[[[(2-氧代-1-咪唑烷基)羰基]氨基]苯基乙酰基]氨基]-7-氧代-4-硫杂-1-氮杂双环[3,2,0]庚烷-2-羧酸
英文名称 Azlocillin
英文别名 3,3-Dimethyl-7-oxo-6-[[[[(2-oxoimidazolidin-1-yl)carbonyl]amino]phenylacetyl]amino]-4-thia-1-azabicyclo[3.2.0]heptane-2-carboxylic acid
CAS号 37091-66-0
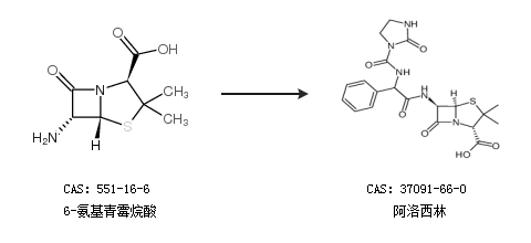
合成路线:
1.通过6-氨基青霉烷酸合成阿洛西林

更多路线和参考文献可参考