基本信息:
中文名称 阿福豆苷
中文别名 KAEMPFEROL-3-RHAMNOSIDE;KAEMPFERIN;番泻叶山奈苷;
英文名称 afzelin
英文别名 Kaempferol 3-O-Alpha-L-Rhamnoside;Trihydroxy-SL0101;Kaempferin;5,7-dihydroxy-2-(4-hydroxyphenyl)-3-[(2S,3R,4R,5R,6S)-3,4,5-trihydroxy-6-methyloxan-2-yl]oxychromen-4-one;Afzelin;Kaempferol 3-rhamnoside;
CAS号 482-39-3
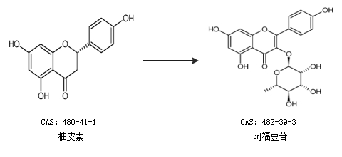
合成路线:
1.通过2-乙酰基呋喃合成阿福豆苷

2.通过柚皮素合成阿福豆苷

更多路线和参考文献可参考