基本信息:
中文名称 阿非科林
中文别名 阿非迪霉素;
英文名称 APHIDICOLIN
英文别名 APC;9-dimethanol,tetradecahydro-3,9-11a-methano-11ah-cyclohepta(a)naphthalene-4;Aphidicolin from Nigrospora sphaerica;Apchidicolin;Aphidicholin;aphidocolin;
CAS号 38966-21-1
合成路线:
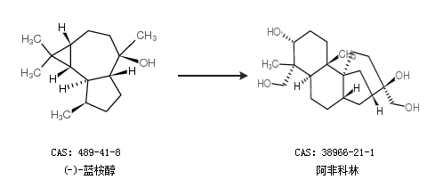
1.通过(-)-蓝桉醇合成阿非科林

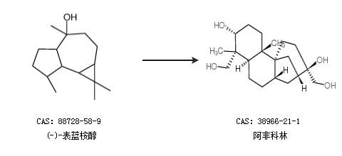
2.通过(-)-表蓝桉醇合成阿非科林

更多路线和参考文献可参考