基本信息:
中文名称 β-紫罗酮
中文别名 beta-紫罗酮;β-紫罗兰酮;(E)-4-(2,6,6-三甲基-1-环己烯-1-基)-3-丁烯-2-酮;beta-紫罗酮;B-紫罗兰酮;Beta-紫罗酮;乙位紫罗兰酮;
英文名称 β-ionone
英文别名 beta-ionone;IONONE,B;OIL;B-IONONE;4-(2,6,6-Trimethyl-1-cyclohexenyl)-3-buten-2-one;
CAS号 79-77-6
合成路线:
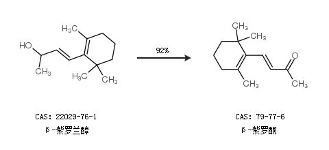
1.通过β-紫罗兰醇合成β-紫罗酮,收率约92%;

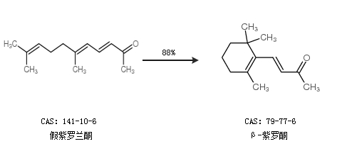
2.通过假紫罗兰酮合成β-紫罗酮,收率约88%;

更多路线和参考文献可参考