基本信息:
中文名称 α-环糊精
中文别名 阿法环糊精;
英文名称 α-cyclodextrin
英文别名 Cyclohexapentylose;cyclomaltohexaose;alpha-cyclodextrin;α-CD,Cyclohexaamylose,cyclomaltohexaose;Schardinger α-Dextrin;CYCLOHEXAAMYLOSE;CYCLOMALTOHEXOSE;alpha-Cycloamylose;cyclomaltodextrin;α-Cyclodextrin;Alpha-Cyclodextrin;Alfadex;a-Cyclodextrin.;Cyclohexaamylose;
CAS号 10016-20-3
合成路线:
1.通过1-Fluoro-1-deoxy-α-D-glucose合成α-环糊精,收率约29%;

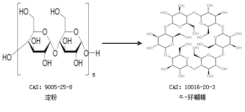
2.通过淀粉合成α-环糊精

更多路线和参考文献可参考