基本信息:
中文名称 N-异丙基苯磺酰胺
英文名称 N-propan-2-ylbenzenesulfonamide
英文别名 n-isopropylbenzenesulfonamide;N-isopropylbenzene sulfamide;N-isopropyl-benzensulfonamide;N-Isopropyl-benzolsulfonamid;
CAS号 5339-69-5
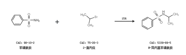
合成路线:
1.通过苯磺酰胺和异丙醚合成N-异丙基苯磺酰胺,收率约68%;

2.通过苯磺酰胺和2-溴丙烷合成N-异丙基苯磺酰胺,收率约15%;

更多路线和参考文献可参考