你好,欢迎来到中华试剂网 购试剂 买耗材! [请登录][注册有惊喜]

货号快速下单 | 签到送积分   | 会员中心 | 客服热线:400-021-2765

N''-硝基-D-精氨酸的合成路线有哪些?

提问时间:2021/4/20 8:14:04
N''-硝基-D-精氨酸有什么方法可以合成?

1条回复:

匿名
2021/4/20 8:14:04
基本信息:
中文名称 N''-硝基-D-精氨酸
中文别名 N-硝基-D-精氨酸;
英文名称 (R)-2-Amino-5-(3-nitroguanidino)pentanoic acid
英文别名 N''-Nitro-D-arginine;
CAS号 66036-77-9

合成路线:
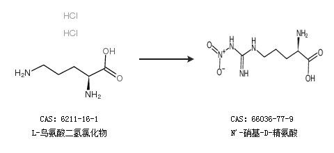
1.通过L-鸟氨酸二氢氯化物合成N''-硝基-D-精氨酸


更多路线和参考文献可参考
回复