你好,欢迎来到中华试剂网 购试剂 买耗材! [请登录][注册有惊喜]

货号快速下单 | 签到送积分   | 会员中心 | 客服热线:400-021-2765

N-甲异戊胺的合成路线有哪些?

提问时间:2021/4/20 8:14:04
N-甲异戊胺有什么方法可以合成?

1条回复:

匿名
2021/4/20 8:14:04
基本信息:
中文名称 N-甲异戊胺
中文别名 甲基异戊胺;N-甲基异戊胺;
英文名称 N-Methylisoamylamine
英文别名 N,3-dimethylbutan-1-amine;
CAS号 4104-44-3

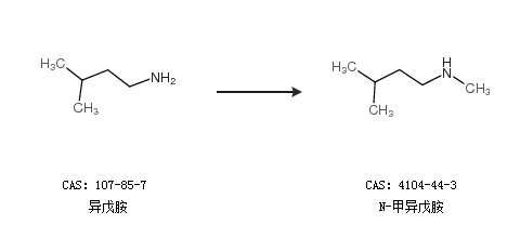
合成路线:
1.通过三聚甲醛、二甲胺和异丁烯合成N-甲异戊胺,收率约9%;


2.通过异戊胺合成N-甲异戊胺


更多路线和参考文献可参考
回复