基本信息:
中文名称 N-Boc-氨基环己胺羧酸
中文别名 顺式-4-(叔丁氧羰基氨基)环己烷甲酸;反-4-(叔丁氧羰氨基)环己甲酸;N-BOC-氨基环己胺羧酸;反式-4-叔丁氧羰酰胺环己羧酸;
英文名称 Boc-trans-4-aminocyclohexane-1-carboxylic acid
英文别名 trans-4-tert-butoxycarbonylaminocyclohexane-1-ylcarboxylic acid;trans-4-(tert-Butoxycarbonylamino)cyclohexanecarboxylic Acid;(1r,4r)-4-(tert-butoxycarbonyl-amino)cyclohexanecarboxylic acid;Trans-4-Boc-cyclohexanecarboxylic acid;BOC-TRANS-1,4-AMINOCYCLOHEXANE CARBOXYLIC ACID;BOC-TRANS-4-AMINOCYCLOHEXANE CARBOXYLIC ACID;BOC-1,4-TRANS-ACHC-OH;trans-4-(Boc-amino)cyclohexanecarboxylic Acid;trans-4-[(N-tert-butoxycarbonyl)amino]-1-cyclohexanecarboxylic acid;N-BOC-TRAN(S)-4-AMINOCYCLOHEXANECARBOXYLIC ACID;TRANS-4-(BOC-AMINO)CYCLOHEXANECARBOXYLIC ACID;trans-4-((tert-butoxycarbonyl)amino)-cyclohexanecarboxylic acid;trans-4-((tert-Butoxycarbonyl)amino)cyclohexanecarboxylic acid;boc-trans-4-amino-1-cyclohexanecarboxylic acid;trans-Boc-4-aminocyclohexane carboxylic acid;RARECHEM AR PA 0013;
CAS号 53292-89-0
合成路线:
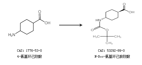
1.通过4-氨基环己羧酸合成N-Boc-氨基环己胺羧酸

更多路线和参考文献可参考