基本信息:
中文名称 N-Boc-D-蛋氨酸
中文别名 Boc-D-蛋氨酸;叔丁氧羰-D-蛋氨酸;N-(叔丁氧羰基)-D-蛋氨酸;N-叔丁氧羰基-D-蛋氨酸;N-叔丁氧羰基-D-蛋氨酸;
英文名称 N-Boc-D-methionine
英文别名 BOC-D-Methionine;N-(tert-Butoxycarbonyl)-D-Methionine;N-Boc-D-Methionine;Boc-D-Met-OH;(2R)-2-[(2-methylpropan-2-yl)oxycarbonylamino]-4-methylsulfanylbutanoic acid;
CAS号 5241-66-7
合成路线:
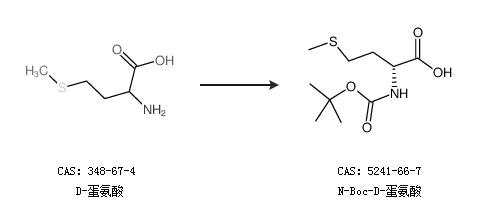
1.通过D-蛋氨酸合成N-Boc-D-蛋氨酸,收率约97%;

2.通过D-蛋氨酸合成N-Boc-D-蛋氨酸

更多路线和参考文献可参考