基本信息:
中文名称 n,n-二乙基-1-萘胺
中文别名 N,N`-二乙基-1-萘胺;N,N-二乙基-α-萘胺;N,N’-二乙基-1-萘胺;N,N''-二乙基-1-萘胺;
英文名称 N,N-diethylnaphthalen-1-amine
英文别名 1-Diaethylamino-naphthalin;N,N-diethyl naphthalen-1-yl-amine;N,N-Diethyl-1-naphthylamine;N,N-Diethyl-1-aminonaphthalene;
CAS号 84-95-7
合成路线:
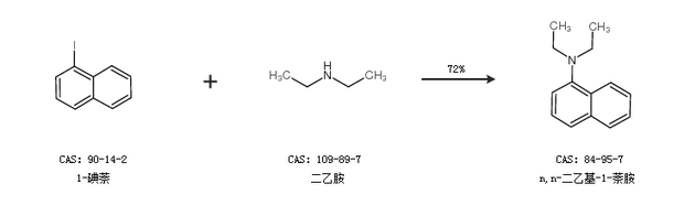
1.通过1-碘萘和二乙胺合成n,n-二乙基-1-萘胺,收率约72%;

2.通过α-乙基氨基萘和碘乙烷合成n,n-二乙基-1-萘胺

更多路线和参考文献可参考