基本信息:
中文名称 L-亮氨酸
中文别名 L-α-氨基异己酸;L-闪白氨基酸;L-白氨酸;氨基异己酸;L-α-氨基异丁基醋酸;L-2-氨基-4-甲基戊酸;L-α-氨基异丁;(S)-2-氨基-4-甲基戊酸;
英文名称 L-leucine
英文别名 ;GLU;(L)-leucine;H-GLU-OH;Glutaton;[14C]-L-(+)-Leucine;L-GLU;[3H]-L-Glutamic acid;glutamic;L-Leucine;Glusate;H-L-GLU-OH;(S)-2-amino-4-methyl-pentanoic acid;(S)-(+)-leucine;Aciglut;[14C]-L-Glutamic acid;GLUTACID;L-(+)-glutamic acid;
CAS号 61-90-5
合成路线:
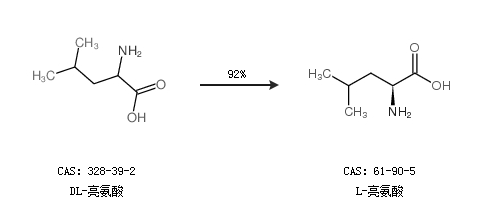
1.通过DL-亮氨酸合成L-亮氨酸,收率约92%;

2.通过L-亮氨酸苄酯对甲苯磺酸盐合成L-亮氨酸,收率约77%;

更多路线和参考文献可参考