基本信息:
中文名称 l-酪胺基乙酸肼
中文别名 L-酪氨酸乙酸肼;L-酪胺基乙酸肼;L-酪氨酰肼;
英文名称 L-TYROSINE HYDRAZIDE
英文别名 H-TYR-NHNH2;L-tyrosinohydrazide;l-thyrosine hydrazide;Tyrosinehydrazide;L-Tyrosin-hydrazid;
CAS号 7662-51-3
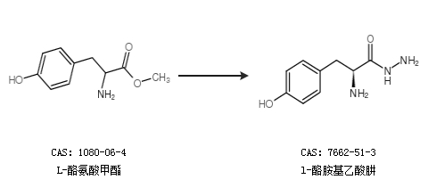
合成路线:
1.通过L-酪氨酸甲酯盐酸盐合成l-酪胺基乙酸肼

2.通过L-酪氨酸甲酯合成l-酪胺基乙酸肼

更多路线和参考文献可参考